
one to many : Image Captioning
many to one : sentiment classification
many to many : machine translation
# RNN(Recurrent Neural Network)
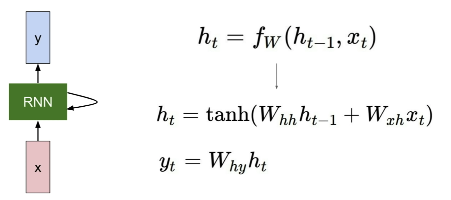
1) Vanilla RNN
ht를 구할 때, ht-1가 영향을 준다는 것이 핵심이다.

* 왜 tanh 쓰는지?
2) Computational Graph

BACK PROP에서는 각각의 w를 sum함.
* Many to Many
Loss도 다르게 할 수 있음

* One to many

* seq to seq : many to one + one to many

# Example : Character-level Language model
many to many

* softmax 는 숫자 벡터를 확률 벡터로 만들어주는 함수
- sigmoid : binary-classification에서 사용 -> 총합이 1 아님 -> 값이 큰 출력값이 그 클래스에 해당할 가능성이 높음
- softmax : multi-classification에서 사용 -> 총합이 1 -> 클래스별 기여도 측정
[출처] Softmax vs Sigmoid|작성자 JINSOL KIM
# Truncated Back Prop
모든 데이터를 한번에 back prop하기 어렵기 때문에
sub sequence씩 back prop 하는 trick.

# Image Captioning
CNN + RNN



# Visual Question Answering

# Vanilla RNN Gradient Flow
ht = tanh(Whh * ht-1 + Wxh * xt)


* make it sequence

h0의 gradient는 W의 여러 요소들을 포함한다.
1) Exploding gradient problem : Largest singular value > 1
-> Gradient clipping

2) Vanishing gradient problem
-> change RNN architecture -> LSTM
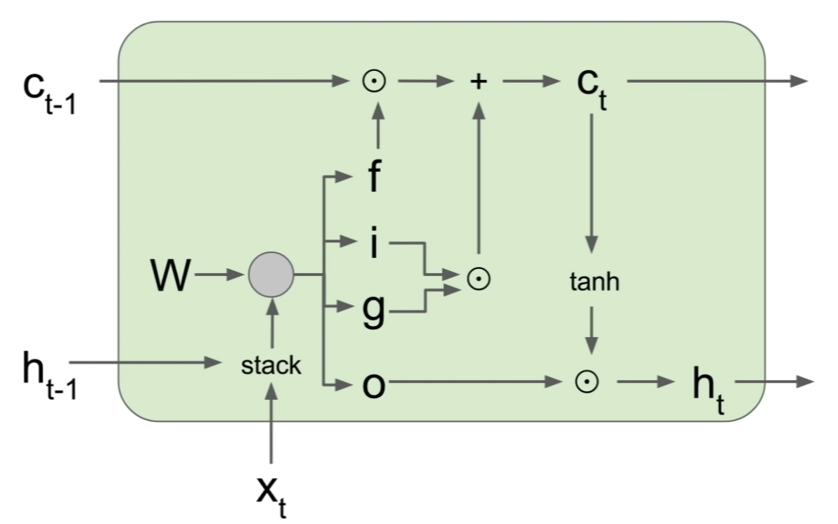
# LSTM
4개의 게이트 이용한다.


input gate : 얼마나 input하고 싶은지 -> sigmoid(0~1)
forget gate : 얼마나 잊고 싶은지 -> sigmoid(0~1)
output gate : 얼마나 표현(output)하고 싶은지 -> sigmoid(0~1)
gate gate(?) : input cell에 얼마나 쓰고 싶은지 -> tanh(-1~1)
-> 4가지 게이트는 각각 다른 non linearity를 사용한다.
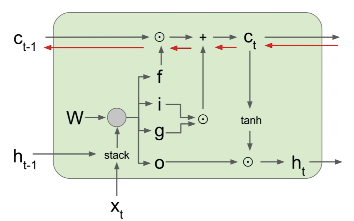
* LSTM 자세히 보기

** Backpropagation
에서 W를 사용하지 않고 Cell state 만 가지고 한다. -> computational efficiency
+ tanh 계산을 하지 않아도 된다.
+ forward시에 cell state 계산할 때 W도 관여를 했으므로 back prop 시에도 W가 고려가 된다.


'AI > CS231n' 카테고리의 다른 글
| [Lecture 8] Deep Learning Software (0) | 2022.07.05 |
|---|---|
| [Lecture 7] Training Neural Networks II (0) | 2022.07.01 |
| [Lecture 6] Training Neural Networks I (0) | 2022.05.18 |
| [Lecture 5] Convolutional Neural Networks (0) | 2022.05.17 |
| [Lecture 4] Introduction to Neural Networks (0) | 2022.05.17 |





























































































